NB-IoT的逻辑信道和传输信道之间的映射
2018-08-14

NB-IoT的逻辑信道和传输信道之间的映射
对于下行链路逻辑信道,PCCH映射到PCH,BCCH映射到BCH或DL-SCH,CCCH、DCCH和DTCH都映射至DL-SCH。下行逻辑信道和下行传输信道之间的映射关系。

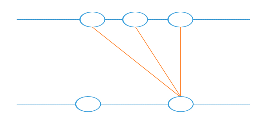
对于上行逻辑信道,CCCH、DCCH、DTCH全部映射到UL-SCH上。下图描述了上行逻辑信道和上行传输信道之间的映射关系。



